حل التمرين الأول:
أولا: الشروط
- حجم العينة ن ≥ 30
- الانحراف المعياري للمجتمع معلوم
- التوزيع معتدل.
ثانيا: لدينا
- المتوسط الحسابي للمجتمع (µ0 =85)
- المتوسط الحسابي للعينة (x̅ = 83)
- الانحراف المعياري للمجتمع (σ =6)
- حجم العينة (n = 50)
ثالثا: لدينا الفرضية غير متجهة (اختبار ذو طرفين) لأن الباحث هدفه معرفة هل أداء الطلبة في مدينته يختلف عن المستوى العام لأداء الطلبة (مثلا لو أراد الباحث معرفة هل أداء عينته أكبر من الأداء العام للطلبة هنا تصبح فرضية موجه ذو طرف واحد من اليمين (اتجاه موجب)، لكن الباحث لم يوجه فرضيته، فقط أراد معرفة هل يوجد اختلاف أو لا، ولا يهم الباحث هل هذا الاختلاف أكبر من الأداء العام أو أصغر منه لذلك فالفرضية في هذا المثال غير موجهة).
رابعا: نختبر الفرضية باتباع الخطوات التالية:
1- مستوى الدلالة هو α = 0.05
2- الفروض الإحصائية:
H0: µ = µ0 لا توجد فروق بين المتوسط الحسابي لأداء العينة والمتوسط الحسابي للأداء العام
H1: µ ≠ µ0 يوجد فروق بين المتوسط الحسابي لأداء العينة والمتوسط الحسابي للأداء العام.
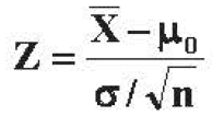
3- حساب قيمة Z:

= (83 - 85) ÷(6 / 50√)
= 2.35-
إذن Z = -2.35
4- تحديد القيمة الحرجة:
بما أن مستوى الدلالة α = 0.05 والفرضية غير متجهة إذن الاختبار ذو طرفين فالشكل يكون كالآتي:

إذن القيمة الجدولية
Z0.05 = ±1.96
إذن منطقة الرفض تقع على جانبي المنحنى (ز = 1.96 +) و (ز = 1.96 -)
وبما أن Z المحسوبة سالبة إذن نقارنها مع Z الجدولية 1.96-
5- التفسير واتخاذ القرار الإحصائي:
بما أن Z المحسوبة والمقدرة بـ 2.35 - أصغر من القيمة الجدولية Z0.05 المقدرة بـ 1.96- فإننا نرفض الفرضية الصفرية ونقبل الفرضية البديلة القائلة بأنه توجد فروق ذات دلالة إحصائية بين أداء عينة الباحث وبين الأداء العام عند مستوى دلالة 0.05.