|
1. ننقر على لائحة التحليل « Analyse » ، والتي تحتوي على مجموعة من القوائم الفرعية، نحدد القائمة الفرعية مقارنة المتوسطات « Rubrique comparer les moyennes » التي تنسدل منها قائمة تضم مجموعة من الأوامر الفرعية 2. ضمن هذه القائمة الفرعية ننقر على الأمر المتعلق بمقارنة عينتين مستقلتين « Test.T pour échantillons indépendants» ، حيث تبرز لنا علبة الحوار والتي تحمل عنوان هذا الأمر |
|
|
3. نقوم بنقل المتغيرين المعنيين بعملية التحليل كل إلى الحيز الخاص به على مستوى علبة الحوار ، حيث نؤشر المتغير التابع "زمن التفاعل" « temps- inter » ثم ننقر على السهم الذي يتوسط حيز المتغيرات وحيز التحليل لنقله إلى الحيز المعنون ب «Variables à tester » 4. نقوم بنقل المتغير المستقل الجنس « sexe » إلى الحيز المعنون ب « Variable de regroupement » عن طريق تأشيره ثم النقر على السهم المقابل لهذا الحيز ثم ننقر على المربع« Définir les groupes » من أجل ضبط مستويي المتغير المستقل حيث برز لنا علبة حوار تحمل عنوان هذا الأمر. |
|
|
5. على مستوى هذه العلبة نقوم بإدخال الرموز المتعلقة بكل مستوى للمتغير و التي تم تحديدها عند ضبط خاصية « Valeurs » في تعريف المتغير المستقل « sexe » في محرر البيانات، حيث سندخل الرقم « 1 » في الحيز « Groupe1 » والرقم « 2 » في الحيز « Groupe2 »، ثم ننقر على المربع « Poursuivre » لتثبيت هذه المعطيات العودة إلى علبة الحوار الرئيسية السابقة « Test.T pour échantillons indépendants» 6. ثم ننقر على « Ok » لتنفيذعملية التحليل ، والتي ستظهر نتائجها على مستوى شاشة عارض النتائج: « Sortie » الخاصة بهذا الاختبار. |
|
تعرض نتائج التحليل الاحصائي الخاصة بهذا الاختبار في على مستوى شاشة عارض النتائج « Sortie » في القسم الأيمن الخاص بنتائج التحليل الإحصائي و يتضمن جدولين هما:
الجدول الأول: يحمل عنوان « Statistiques des groupes »و هو جدول ذو مدخلين يلخص الإحصاءات الوصفية المرتبطة بالعينتين المستقلتين من حيث حجم العينتين و المتوسط الحسابي لكل عينة و الانحراف المعياري أيضا و متوسط الخطأ المعياري، و التي تعتبر معلمات ضرورية في تنفيذ الاختبار من جهة أو تقدير شروط صحة تنفيذه من جهة أخرى.

و يبين الجدول أن حجم عينة الذكور هو « 7 » و متوسط نتائجهم في توقيت التفاعل « 11.52 » بانحراف معياري « 0.85 » و متوسط خطأ معياري يقدر ب « 0.32 » ، بينما حجم عينة الاناث « 8 » بمتوسط توقيت في التفاعل « 14.31 » وانحراف معياري يساوي « 1.74 » ومتوسط خطا معياري يقدر ب « 0.61 »
الجدول الثاني: و يحمل عنوان «test des échantillons indépendants » والذي يتكون من قسمين:
القسم الاول مخصص لاختبار التجانس و المعنون ب « Test de Levene sur l’égalité des variances » و يتضمن بيانات عن هذا الاختبار و تتمثل في قيمة « F » ودلالتها الاحصائية المتمثلة في « Sig » « Pvaleur » . والتي من خلالها تتحدد كيفية التعامل مع بيانات القسم الثاني من الجدول.
أما القسم الثاني فهو مخصص لعرض بيانات عن نتائج دراسة الفرق بين متوسطين و يحمل عنوان « Test t pour égalité des moyennes » و يتضمن بيانات عن قيمة « T.test » و درجة الحرية « ddl » و قيمة فرق بين المتوسطين « Différence moyenne » و فرق الخطأ المعياري « Différence erreur standard » بالإضافة إلى قيم الحد الأدنى « Inférieur » و الحد الأعلى « Supérieur » لفترة الثقة عند مستوى % 95 « Intervalle de confiance de la différence à % 95 » ، و ذلك في كلتا الحالتين؛

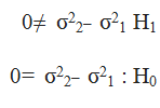
عمليا للتعامل مع نتائج هذا الجدول، يجب فحص نتائج الجزء الأول منه و المتعلق باختبار التجانس « Test de Levene sur l’égalité des variances » و هذه المعالجة مبنية أساسا على أحد المسلمات المرتبطة بتجانس المجتمعين الذين سحبت منهما عينتا الدراسة، و ذلك في ضوء الفرضين البديل والصفري على النحو التالي:

و من خلال النتائج المبينة في هذا الجزء من الجدول؛ قيمة Fratio = 1.903 و بمستوى دلالة Pvaleur Sig) = 0.191) و هي قيمة قد تجاوزت (α 0.05)، فإننا نقبل الفرض الصفري والذي مفاده إن هناك تجانس بين المجتمعين الذين سحبت منهما العينتين، وعليه فإننا سنعتمد في اختبار دلالة الفرق بين متوسطي العينتين على نتائج اختبار « T.test » لعينتين مستقلتين متجانستين، والتي تظهر على مستوى السطر الأول « Hypothèse des variances inégales »
و تبين النتائج أن قيمة « T.test » تقدر ب (3.82) ودرجة الحرية « ddl » تساوي (13) أي n1+n2-2 ، و قيمة فرق بين المتوسطين « Différence moyenne » هي (2.72-) بالإضافة إلى قيمة فرق الخطأ المعياري « Différence erreur standard » المقدرة ب (0.72)
و تتم هذه المعالجة في ضوء الفرضين البديل والصفري وفقا للصياغة التالية:

و لفحص الفرض الصفري يمكننا اتباع إحدى الطريقتين: